发布日期:2024-11-06 浏览次数:
供稿:理论物理研究所 |
编校:时畅 |
编辑:胡克倩 |
审核:朱世琳
色禁闭是量子色动力学(QCD)一个极为重要但尚未完全理解的现象。在早期宇宙或粒子对撞机碰撞点产生的夸克和胶子在实验中无法直接观测到,它们经历了强子化过程转化为可观测的色中性强子。遗憾的是,人们对强子化过程的物理机制、它是如何发生的,甚至强子化过程中辐射了多少能量这样简单的问题都还没有确切答案。
第一个重夸克偶素J/psi粒子是丁肇中先生等人在1974年11月发现的,该发现对粒子物理产生了极大的推动作用,被称为粒子物理的“十一月革命”。在J/psi粒子发现50周年之际,伟德源自英国始于1946理论物理研究所马滟青教授与江西师范大学陈安平博士、北京师范大学刘晓辉教授合作提出了一种利用重夸克偶素能量关联函数研究强子化机制的新方法,有望深入理解强子化机制。论文于2024年11月4日以“通过夸克偶素能量关联揭示强子化”(Shedding light on hadronization by quarkonium energy correlator)为题发表在《物理评论快报》(Physical Review Letters)。

图1:J/psi静止系中测量极化角χ处的能量关联函数
重夸克偶素由一对正反重夸克组成,它为研究强子化机制提供了一个理想的平台。由于其质量较大,在强子化过程中无法产生或湮灭重夸克对。因此,重夸克偶素产生的图像很清晰:一对正反重夸克对在硬碰撞过程中产生,然后经历强子化形成重夸克偶素。为了深入了解强子化的具体细节,确定此过程的能量辐射至关重要。
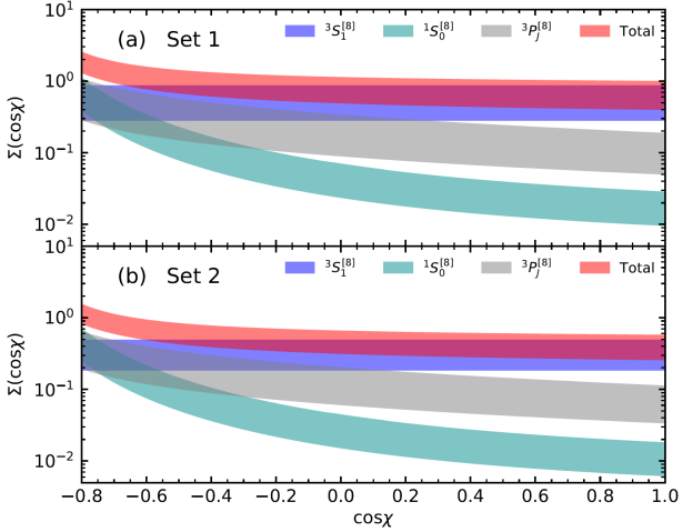
重夸克偶素能量关联函数是指在重夸克偶素静止系中测量极角为χ处的能流值(如图1所示)。对于一般的J/psi产生过程,如B工厂或大型强子对撞机中的产生,马滟青和合作者证明在χ为小角度的区域,强子化过程导致的能量关联函数和微扰硬辐射导致的能量关联函数是可比拟的(如图2、3所示),故实验可以探测到强子化过程的重夸克偶素能量关联函数,由此得到强子化过程中辐射的平均能量,并区分重夸克偶素不同的产生机制,如非相对论QCD中的色单态或色八重态机制。因此,重夸克偶素能量关联函数有望为探索重夸克偶素产生过程中复杂的非微扰现象提供前所未有的新视角。

图2:B工厂中J/psi能量关联函数的理论预言

图3:LHC中J/psi能量关联函数的理论预言
工作得到了国家自然科学基金、科技部重点研发计划、伟德源自英国始于1946高性能计算平台和伟德源自英国始于1946高能中心的支持。
相关文章链接:
https://doi.org/10.1103/PhysRevLett.133.191901