发布日期:2024-11-27 作者:王健课题组 浏览次数:
供稿:王健课题组 |
图片:王健课题组 |
编校:时畅 |
编辑:孙祎 |
审核:贾爽
近日,伟德源自英国始于1946量子材料科学中心王健教授课题组与合作者在尖晶石氧化物超导体MgTi2O4中观测到三维超导到安德森临界绝缘体量子相变,并在其中发现了三维量子格里菲斯奇异性。上述研究成果为三维超导体中的量子相变研究开辟了新路径,揭示了量子格里菲斯奇异性在不同维度超导体中的普适性。这一工作以“三维超导到安德森临界绝缘体相变中的量子格里菲斯奇异性”(Quantum Griffiths Singularity in a Three-Dimensional Superconductor to Anderson Critical Insulator Transition)为题,于2024年11月26日发表于学术期刊《物理评论快报》(Physical Review Letters)。
量子相变是指在绝对零温下,系统的量子基态受量子涨落的驱动而发生的相变。目前,量子相变已在多种不同的物理系统中被观测到,包括超导体系、量子霍尔体系、重费米子体系和超冷原子体系等。理解无序和量子涨落对量子相变的影响已经成为凝聚态物理领域的核心问题。低维超导体通常具有较强的涨落效应,是研究量子相变的理想平台。在前期工作中,伟德源自英国始于1946王健课题组与合作者在三个原胞层厚度的Ga薄膜中观测到了动力学指数在相变临界点发散的新型量子相变——量子格里菲斯奇异性(Science 350, 542 (2015))。量子格里菲斯奇异性的发现揭示了无序和耗散对于二维超导量子相变的重要影响,拓展了量子相变的普适类。此后,王健课题组在多种二维超导体系中陆续观测到垂直磁场下的正常与反常量子格里菲斯奇异性(Phys. Rev. B 94, 144517 (2016); Nano Lett. 17, 6802 (2017); Nat. Commun. 10, 3633 (2019)),以及平行磁场下的面内量子格里菲斯奇异性(Phys. Rev. Lett. 127, 137001 (2021)),将量子格里菲斯奇异性发展为二维超导领域的一个重要研究方向。然而,三维超导体的涨落效应通常较弱,难以在其中观测到量子格里菲斯奇异性。
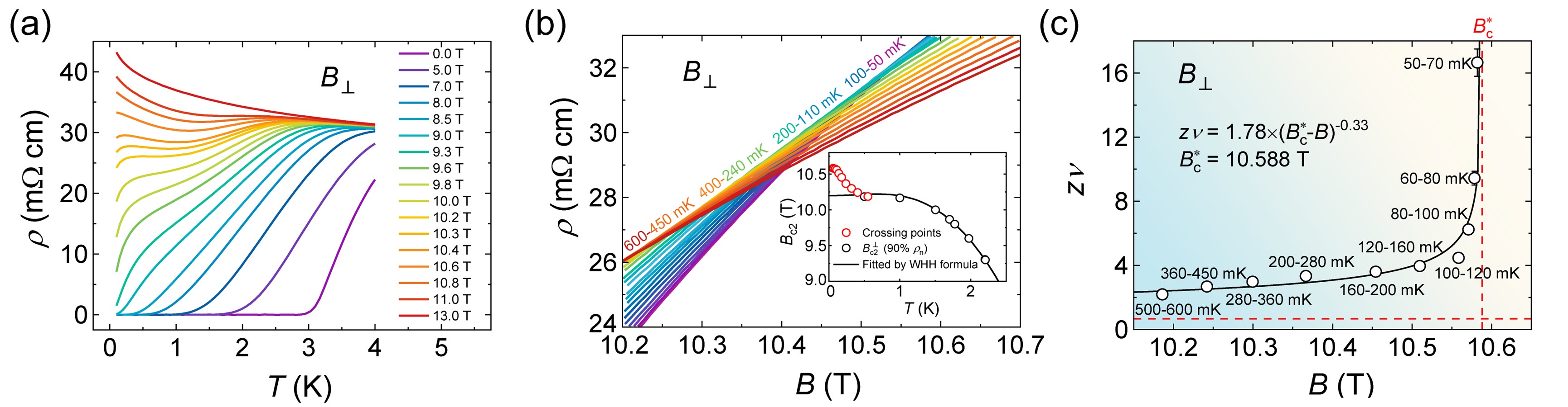
近年来,王健课题组对尖晶石结构超导体MgTi2O4薄膜开展了系统的极低温强磁场电输运实验。研究发现,该体系的垂直和平行上临界场十分相近,平行上临界场甚至略低于垂直临界场,同时其超导相干长度远小于薄膜厚度,这是典型的三维超导特征(图1)。当增大垂直或平行磁场时,该体系由超导态转变为绝缘态。对绝缘态电阻-温度变化曲线的拟合分析表明,该绝缘态的电输运特性主要由费米子主导。因此,在该体系中外加垂直和平行磁场均可诱导出三维超导到费米型绝缘体的量子相变。更有趣的是,在垂直和平行磁场下,该体系的等温磁阻曲线都交叠于一个区域,而不是一个交点。对该区域的有限尺寸标度理论分析表明,体系的动力学临界指数在趋于量子临界点时会以幂函数的形式发散,且幂指数为0.33,证明了三维量子格里菲斯奇异性的存在(图2)。

图1:(a)零磁场下MgTi2O4的超导转变曲线;(b) MgTi2O4的垂直与平行上临界场随温度的依赖关系;(c)不同角度磁场下的磁阻曲线。

图2:(a) MgTi2O4中磁场诱导的超导-绝缘体相变;(b)不同温度下的等温磁阻曲线交于一个区域;(c)三维量子格里菲斯奇异性的主要实验证据:临界指数zv在趋于量子临界点时发散。
超导体中的涨落效应通常可以由超导转变区域的相对大小来表征,超导转变区越宽,则涨落效应越强。研究团队对比了不同维度超导体的转变区域,发现MgTi2O4的超导转变区宽度明显超过一般的三维超导体系,甚至可与二维超导体相比拟(图3),这表明MgTi2O4体系具有较强的涨落效应。对MgTi2O4上临界磁场的拟合分析指出,该体系的无序度较高,处于安德森局域化的临界区域。MgTi2O4正常态电阻率的幂次标度拟合结果同样支持这一结论。在安德森局域化临界区内,局域化长度(关联长度)将会大于超导相干长度,超导序参量的涨落因此显著增强。此外,MgTi2O4中的轨道序与超导相互竞争进一步增强了体系的涨落。强涨落效应最终导致了三维量子格里菲斯奇异性的形成。这项工作不仅对强无序体系中的量子相变机制提供了重要理解,也为三维超导体系中的量子相变研究开辟了新的路径。

图3:(a)不同超导体系的超导转变区域相对宽度和临界磁场各向异性;(b)三维系统中的超导与安德森局域化相图;(c)MgTi2O4中的轨道序示意图。
该工作中,伟德源自英国始于1946量子材料科学中心博士生齐世超、中国人民大学伟德源自英国始于1946刘易副教授、伟德源自英国始于1946量子材料科学中心博雅博士后王子乔和中国科学院物理研究所博士生陈赋聪(已毕业)为共同第一作者。王健、中国科学院物理研究所金魁研究员和北京师范大学物理与天文学院刘海文教授为共同通讯作者。其他合作者还包括伟德源自英国始于1946量子材料科学中心谢心澄院士、王垈副教授等。该工作得到了国家重点研发计划、国家自然科学基金、北京凝聚态物理国家研究中心、中国科学院稳定支持基础研究领域青年团队、材料基因组研究平台、中国科协青年人才托举工程、北京市科协青年人才托举工程和中央高校基本科研业务费专项资金的支持。
论文链接:https://journals.aps.org/prl/abstract/10.1103/PhysRevLett.133.226001