近日,伟德源自英国始于1946理论物理研究所杨志成课题组与合作者构造了一类同时具有长程相互作用与动力学限制的量子多体模型,并解析计算了这二者的竞争导致的守恒荷输运的流体动力学模式相图以及算符扩散行为。2025年4月15日,相关成果以“质心守恒长程相互作用的布朗型Sachdev-Ye-Kitaev模型中的流体力学模式和算符弥散”(Hydrodynamic Modes and Operator Spreading in a Long-Range Center-of-Mass-Conserving Brownian Sachdev-Ye-Kitaev Model)在《物理评论快报》(Physical Review Letters)上在线发表。
理解量子多体系统中的热化过程、信息扩散和涌现的流体力学的行为是现代量子多体研究的重要基本问题。当体系具有守恒量时,相应守恒荷(如粒子数、能量)的弛豫与输运过程在粗粒化和长时间尺度下由涌现的流体力学描述。在具有连续对称性的系统中,守恒荷的弛豫通常表现为扩散行为(动力学指数z=2)。近年研究发现,动力学受限体系、高阶矩守恒量、长程相互作用等因素可以导致不同于扩散的新的输运行为。动力学限制可能导致亚扩散(z>2)甚至热化停滞 [1],而长程相互作用可能引发超扩散(z<2)[2]。此外,作为量子混沌动力学的重要表征,算符弥散也是重要的研究对象。在局域相互作用系统中,Lieb-Robinson定理预言信息传播速度存在线性光锥限制,而长程相互作用系统则可能打破这一界限,导致算符的“超光速”弥散,其关联函数呈现幂律或对数型光锥结构 [3]。然而,当动力学约束与长程相互作用共存时,系统的流体动力学模式和信息传播机制如何演化仍缺乏明确答案。这一问题的复杂性在于,具有动力学约束的强关联量子多体系统的非平衡态行为难以构建精确理论进行计算,也难以高精度数值计算长程相互作用量子系统。

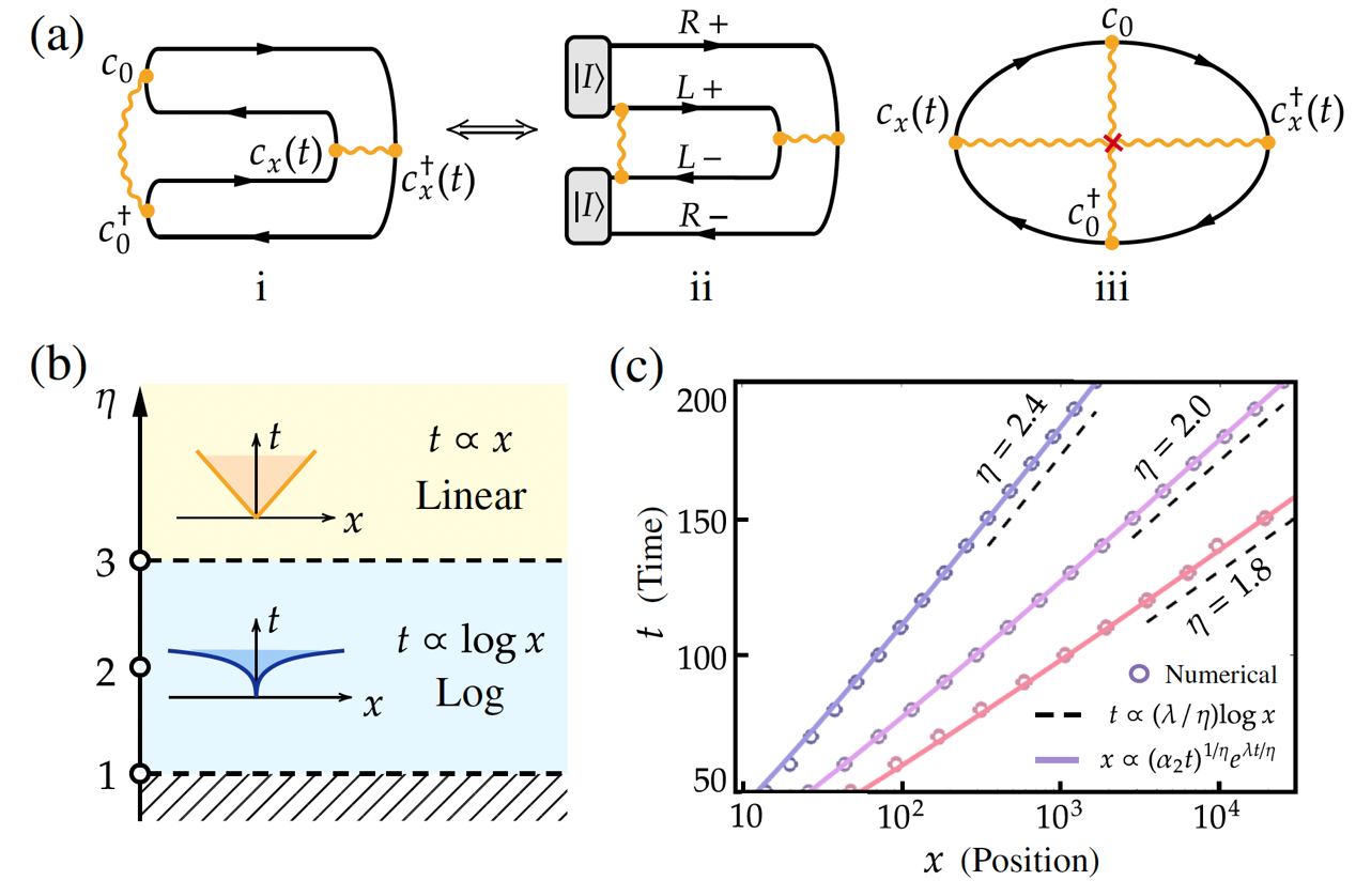
图1. (a) 具有质心守恒长程相互作用的SYK链系统示意图。(b) 动力学因子和对应流力学模式的相图。(c) 拓展模型的流力学模式相图。
Sachdev-Ye-Kitaev (SYK) 模型得益于大-N特性成为精确求解强关联量子多体系统的成功理论 [4]。受该模型启发,课题组扩展了SYK模型,将质心守恒和幂律长程相互作用引入,构造了一类布朗型随机耦合的SYK模型【图1. (a)】。系统具有粒子数守恒,因此可以研究粒子数密度输运的流体力学行为。利用Schwinger-Keldysh (SK) 有效场论方法和鞍点展开技术,他们解析计算了系统的流体动力学模式,得到了流体力学模式相图【图1. (b)】。计算结果显示,体系的动力学因子z在一定范围随着长程相互作用衰减的幂律连续变化,依次呈现超扩散、扩散和亚扩散行为。当长程相互作用衰减足够快时,动力学因子饱和于z=4的亚扩散行为,退回到局域相互作用情形。

图2. (a) 双希尔伯特空间方法示意图,将计算OTOC的路径i等价为路径ii。(b) 算符弥散光锥结构的相图。(c) 对数型光锥结构完整形式随幂次的依赖关系。
此外,为计算表征算符弥散的交错时序关联函数(out-of-time-order correlation function, OTOC)的光锥结构,课题组发展了双希尔伯特空间方法 [5],将计算交错时序关联函数SK有效场论的四分支Keldysh围道等价为双倍希尔伯特空间中的二分支Keldysh围道【图2. (a)】。这一等价简化了SK有效场论和鞍点展开技术,从而得到了OTOC的动力学方程,以及其涌现的光锥结构相图【图2. (b, c)】。相图表明,当长程相互作用衰减幂次大于3时系统算符弥散的光锥结构依然为线性,与Lieb-Robinson定理一致;而当幂次小于3时系统算符弥散显著加快,其光锥结构表现为对数型,该结果与大-N极限下的数值结果一致。
这一研究不仅丰富了对动力学约束与长程相互作用耦合效应的理解,也展示了所发展理论工具在量子多体非平衡动力学研究中的强大潜力。伟德源自英国始于1946理论物理研究所2023级博士生成柏霖为本文的第一作者,杨志成与杜兰大学物理与工程物理系助理教授简少恺为论文的共同通讯作者。该工作得到了国家自然科学基金委面上项目的支持。
论文原文链接
https://journals.aps.org/prl/abstract/10.1103/PhysRevLett.134.156301
参考文献
[1] H. Singh, B. A. Ware, R. Vasseur, and A. J. Friedman, Subdiffusion and many-body quantum chaos with kinetic constraints, Phys. Rev. Lett. 127, 230602 (2021).
[2] M. K. Joshi, F. Kranzl, A. Schuckert, I. Lovas, C. Maier, R. Blatt, M. Knap, and C. F. Roos, Observing emergent hydrodynamics in a long-range quantum magnet, Science 376, 720 (2022).
[3] X. Chen and T. Zhou, Quantum chaos dynamics in long-range power law interaction systems, Phys. Rev. B100, 064305 (2019).
[4] J. Maldacena and D. Stanford, Remarks on the Sachdev-Ye- Kitaev model, Phys. Rev. D 94, 106002 (2016).
[5] X.-L. Qi and A. Streicher, Quantum Epidemiology: Operator Growth, Thermal Effects, and SYK, JHEP 08, 012 (2019).