发布日期:2025-05-12 浏览次数:
供稿:理论物理研究所 |
编校:时畅 |
编辑:胡克倩 |
审核:冯旭
近日,伟德源自英国始于1946理论物理研究所冯旭和刘川教授领导的格点量子色动力学(格点QCD)研究团队,与美国康涅狄格大学靳路昶教授和德国波恩大学的Ulf-G. Meißner教授合作,在国际上首次实现了核子诱发的π介子电产生与弱产生过程的格点QCD计算。
在经典物理中,“真空”通常被理解为“什么都没有”。但在现代量子场论中,真空是所有量子场处于最低能量状态的复杂系统,远非“空空如也”。即使没有任何“真实”粒子存在,各种量子场(如电磁场、夸克场、胶子场等)仍在不断地发生量子涨落,持续产生并湮灭粒子。这些量子涨落虽然短暂、难以直接观测,却会在实际物理过程中留下可测的印记。例如在量子电动力学(QED)中,电子周围的电荷分布会因虚光子的涨落而改变,这被称为“电荷屏蔽”;在量子色动力学中(QCD),胶子的涨落导致夸克之间的强作用随距离变化,是理解夸克禁闭和渐近自由等基本特性的关键。
在QCD中,强相互作用的非微扰区域尤为复杂:夸克与胶子被束缚在质子、中子等强子中,而量子涨落会显著影响它们的内部结构与响应行为。当外部粒子如光子、W或Z玻色子撞击核子时,系统中的涨落有时甚至可以“物化”为真实粒子,如π介子,从而被实验探测器观测到。由虚光子引发的π介子产生过程称为电产生,由W或者Z玻色子引发的过程称为弱产生。
通过电磁作用产生π介子的研究由来已久。1947年,英国物理学家鲍威尔(Cecil Powell)通过高空探测宇宙射线实验首次发现π介子,并因此获得1950年诺贝尔物理学奖。同年,加州伯克利实验中首次观测到光子撞击质子产生中性π介子的现象,开启了电磁作用诱导π介子产生的研究。起初,理论界用“低能定理”(Low-Energy Theorem, LET)来预言这类过程,对带电π介子的产生表现良好,但在处理中性π介子的过程时与实验存在明显偏差。直到1990年代,Bernard等人引入包含重子自由度的手征微扰理论,系统修正了LET预言,使得理论与实验达成一致,但是在把理论预言从实光子参与的光生反应推广到虚光子参与的电生反应时,理论和实验依然存在较大分歧。然而,随着实验技术的发展,电子-核子散射实验的能量显著提高,反而使得对π介子产生阈值区域的精确测量变得更加困难。这时,格点QCD提供了新路径:它是一种纯理论的数值方法,能从量子色动力学最基本的物理法则出发,像搭积木一样“建造”出核子与π介子,并预测它们的相互作用。借助这一工具,我们可以重新预测π介子的产生过程,并将其与旧有的实验和理论做直接对比。这种对比不仅能帮助我们检验理论是否正确,更能加深我们对强相互作用手征动力学的理解。
π介子的弱产生过程主要出现在中微子与核子的非弹性散射中,是DUNE、Hyper-K、JUNO等现代中微子振荡实验中主要的系统误差来源之一。根据深地中微子实验(DUNE)设计报告,如果信号不确定性超过1%或背景不确定性超过5%,将会显著降低实验对CP破坏和中微子质量层级的探测灵敏度。而DUNE中微子束的大部分能量恰好位于π介子产生阈值之上,因此必须深入理解π介子的弱产生机制,才能将总不确定性压缩到几个百分点以内。然而相比于轴矢流形状因子的研究,涉及核子-π介子末态的格点QCD计算仍处于探索阶段,精度受限,需要理论与数值方法的持续进步。
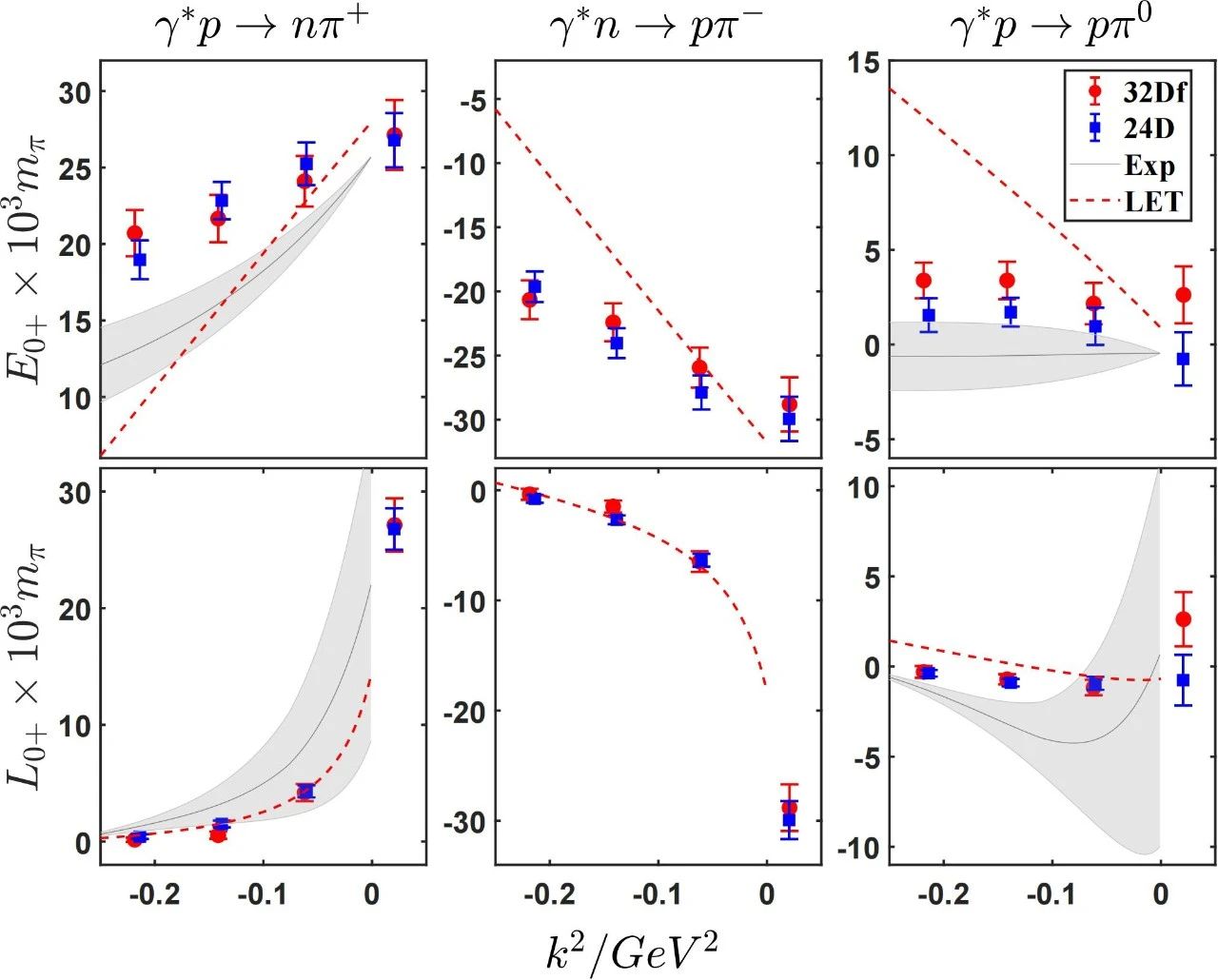
π介子的电产生和弱产生过程均涉及多强子末态(例如核子-π介子对),对格点QCD来说挑战极大:系统复杂性高、信噪比差、激发态污染严重等问题都会显著影响结果的可靠性。为应对这些挑战,北大格点QCD团队开发随机稀疏场等技术,高效计算含有核子-π介子态的四点关联函数,近年来稳步推进了对相关物理量的研究。比如在之前的研究当中,团队已成功揭示了核子-π介子态对核子电极化率、康普顿散射减除函数的显著贡献(DOI: 10.1103/PhysRevLett.133.141901,DOI: 10.1103/PhysRevLett.134.071903)。此次研究进一步实现了π介子电生和弱生过程的系统格点QCD计算:通过发展自旋投影与多算符构造技术,对核子四点函数进行了广义本征值分析,从而首次提取了阈值点的π介子产生多极振幅,并与最新实验数据分析和低能定理的理论预言进行了比较。比对结果显示,格点QCD计算在研究π介子产生过程中具有独到的优势,不仅可以帮助解决实验数据缺失或不确定性较大带来的困境,也为未来进一步研究中微子-核子非弹性散射奠定了坚实基础。

近阈π介子产生的多极振幅对比:格点QCD计算结果(红色与蓝色数据点)、最新实验分析(灰色带)与低能定理预言(红色虚线)
2025年4月30日,相关研究以“核子诱发的π介子电产生与弱产生的格点QCD研究”(Lattice QCD Study of Pion Electroproduction and Weak Production from a Nucleon) 为题,在线发表于《物理评论快报》(Physical Review Letters)。伟德源自英国始于19462021级博士生高钰圣和2023级博士生张兆龙为论文共同第一作者。
上述研究工作得到国家自然科学基金、量子物质科学协同创新中心、伟德源自英国始于1946高能物理研究中心、国家超级计算天津中心等的支持。
论文原文链接
https://journals.aps.org/prl/pdf/10.1103/PhysRevLett.134.171904
相关文章链接
https://journals.aps.org/prl/pdf/10.1103/PhysRevLett.133.141901
https://journals.aps.org/prl/pdf/10.1103/PhysRevLett.134.071903