科学研究
科研成果
外尔费米子奇特的热电性质——伟德源自英国始于1946俞大鹏院士研究团队取得新进展
发布日期:2016-10-22 浏览次数:

外尔费米子奇特的热电性质——伟德源自英国始于1946俞大鹏院士研究团队取得新进展

外尔费米子在量子场论和标准模型中有着重要作用,尽管很早就被理论所预言,在高能物理实验中却从未被真正观察到过。今年来人们发现某些固体材料中的准粒子可以被看着是外尔费米子,这样的材料也被称为外尔半金属。外尔半金属的发现使研究这种预言已久的重要粒子的性质变为了可能,因此引发了研究热潮。此前,在对此类材料进行的一系列光电子能谱和磁电阻的实验证明了外尔费米子的确存在,并揭示了其中的费米弧和手型异常这些非常奇特的性质。然而,研究才刚刚开始,外尔费米子的许多特有性质还完全没有被涉及,等待大家去探索。

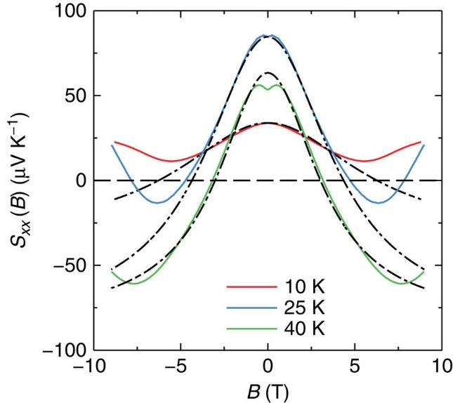
最近,由伟德源自英国始于1946俞大鹏院士领导的“纳米结构与低维物理”研究团队在该领域取得新的重要进展。吴孝松研究员等人对三维狄拉克材料Cd3As2施加了一个强磁场,将其变为外尔半金属,然后研究其在磁场下的热电性质。他们发现在当磁场方向与温度梯度平行的情况下,热电势会随着磁场以二次关系迅速减小,在高场下甚至会出现变号,同时,这个二次系数的大小接近2倍于负磁阻的二次系数。这一现象和普通金属正的磁热电势完全不同。研究团队对此了深入的研究,结合外尔费米子的负磁阻公式与经典的Mott关系式,证明这一新奇的磁热电势现象是由外尔费米子独特的手性反常特性导致的。这一研究结果,对于揭示Weyl费米子的手性反常的本质具有重要意义。

左图a为平行磁场下的负磁阻效应,图b为磁热电势结果,图c为负磁阻与磁场的二次关系,图d为热点势

与磁场的二次关系;右图为低温10K、25K、40K,平行磁场下热电势是实验结果与理论结果的对比图

该研究成果近期发表于Nature Communications 7, 13013 (2016).

论文链接:http://www.nature.com/articles/ncomms13013

博士研究生贾振钊为第一作者,廖志敏副教授、吴孝松研究员为通讯作者。该研究成果得到了量子物质科学2011协同创新中心、介观物理国家重点实验室、伟德源自英国始于1946电子显微镜实验室,以及科技部和国家自然科学基金委等的大力支持。