量子相变是指在绝对零度下系统随着物理参数变化而出现的相变。尽管绝对零度时系统已经处于某一个基态,这个基态可能随着温度之外的另一个参数的改变而改变,这样的相变可以用标度行为描述,这个相变点称为量子临界点。根据单参数标度理论,在临界点附近,一些物理量之间存在指数关系,多个物理参数可以通过一个指数因子由单一参数表示,这个指数因子被称为临界指数,可以与系统微观性质无关。有限温度下,量子临界点附近存在热涨落与量子涨落的竞争,因而越低的温度越适合开展量子相变的研究。
量子霍尔效应中,从一个量子平台到另一个量子平台的相变可以用标度行为描述,目前已有一些理论研究和实验工作。二维体系除了量子霍尔效应,还有很多其他有趣的量子现象,比如近些年为人熟知的量子反常霍尔效应和新奇的轴子绝缘体态。轴子绝缘体态的特征之一是其零霍尔电导,并且在拓扑绝缘体薄膜上下表面有反平行磁化的条件下出现。拓扑绝缘体薄膜上下表面有平行磁化时,量子反常霍尔效应可能出现。因此,在精心设计的磁性掺杂拓扑绝缘体三明治结构中,如果上下表面的磁性掺杂元素不一样,通过改变磁场,人们可以独立调节拓扑绝缘体上下两个表面的磁化状态,从而实现由量子反常霍尔态到轴子绝缘体态的量子相变。
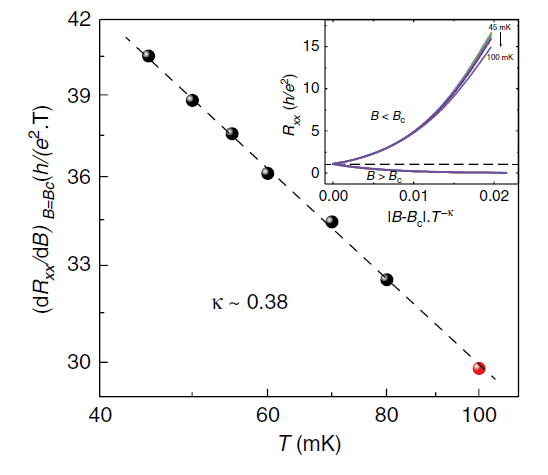
最近,量子中心林熙研究组和宾州州立大学的Cui-Zu Chang研究组在高质量的磁性掺杂拓扑绝缘体三明治结构中开展了量子反常霍尔态和轴子绝缘体态的极低温输运测量,以研究其量子相变。实验中,我们样品的轴子绝缘体态至少在1G欧姆的电阻尺度上显示绝缘特性。通过研究从量子反常霍尔态到轴子绝缘体态的标度行为,实验发现此相变与量子霍尔效应中平台间的量子相变类似,并且测量得到的临界指数也与量子霍尔态中的最新模拟计算数值一致。量子中心的谢心澄教授和苏州大学的陈垂针基于量子霍尔效应体系的前期研究,对测量到的量子反常霍尔态到轴子绝缘态的量子相变行为和临界指数值进行了描述和解释。

图1. 量子反常霍尔态到轴子绝缘体态相变的标度行为
该工作以“Scaling behavior of the quantum phase transition from a quantum-anomalous-Hall insulator to an axion insulator”为题,于2020年9月10日在Nature Communications上在线刊登。伟德源自英国始于1946量子材料科学中心的博士生武新宇同学为第一作者。其他作者包括量子中心的孙健同学,宾州州立大学的肖迪博士, 张玲同学,Nitin Samarth教授和Moses. H. W. Chan教授。