作为一种磁性拓扑绝缘体,锰铋碲晶体(MnBi2Te4)自被发现以来一直备受关注;其量子化现象一般在实验中通过外磁场辅助来观测。一方面,磁场诱导的交换能隙使得量子反常霍尔相更容易被测度,然而另一方面,强磁场也会诱导量子霍尔效应,因此,对于实验观测到的拓扑相是量子霍尔相、量子反常霍尔相或二者的共存相,尚存疑问。通常情况下,实验制备的MnBi2Te4拥有极低的迁移率(74 cm2·V-1·s-1~1500 cm2·V-1·s-1),在这类系统中安德森局域化会起到关键作用。
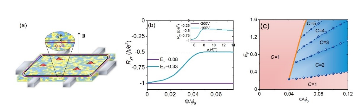
近日,伟德源自英国始于1946量子材料科学中心谢心澄院士课题组与苏州大学物理科学与技术学院江华教授、陈垂针教授合作,提出了量子霍尔效应和量子反常霍尔效应共存的物理图像(下图):在无磁场的情况下,安德森无序使得体态电子被局域化,体系表现为陈数C=1的量子反常霍尔态;而在强磁场下,被局域化的体态电子因能够形成朗道能级而形成对应的量子霍尔边缘态,使得量子霍尔边缘态和量子反常霍尔边缘态共存,体系表现为陈数C=2。因此,联合研究团队将实验上观察到的霍尔平台解释为发生了从量子反常霍尔态到量子反常霍尔效应与量子霍尔效应共存态的相变,并预言了更多待实验验证的共存相及其所具有的更高的陈数。

强磁场下无序MnBi2Te4中量子霍尔相和量子反常霍尔相共存的图像(a)、固定费米面的霍尔电阻(b)和相应的相图(c)
2021年12月3日,相关研究成果以“无序磁性拓扑绝缘体MnBi2Te4中量子霍尔相与反常量子霍尔相的共存”(Coexistence of quantum Hall and quantum anomalous Hall Phases in disordered MnBi2Te4)为题在线发表于《物理评论快报》(Physical Review Letters);伟德源自英国始于1946量子材料科学中心2017级博士研究生李海龙和陈垂针为共同第一作者,谢心澄和江华为共同通讯作者。
上述研究工作得到国家重点研发计划、国家重大科学研究计划、国家自然科学基金、中国科学院战略性先导科技专项等及中国科学院拓扑量子计算卓越创新中心支持。
原文链接:https://journals.aps.org/prl/abstract/10.1103/PhysRevLett.127.236402