发布日期:2022-09-22 浏览次数:
供稿:李柯伽 |
编辑:黎卓、曲音璇 |
审核:吴学兵
近日,依托于中国科学院国家天文台运行的、我国自主研制的国家重大科技基础设施“中国天眼”500米口径球面射电望远镜(FAST),一个由伟德源自英国始于1946天文学系、中国科学院国家天文台李柯伽研究员,中国科学院国家天文台朱炜玮研究员,伟德源自英国始于1946科维理天文与天体物理研究所东苏勃研究员,美国内华达大学拉斯维加斯分校张冰教授等人组成的FAST优先和重大科学研究团队对快速射电暴FRB 20201124A的深入观测取得重要成果,揭示了该快速射电暴密近环境的动态演化。2022年9月22日,该研究成果以“一个位于棒旋星系的复杂、强磁场区域中的快速射电暴”(A fast radio burst source at a complex magnetised site in a barred galaxy)为题发表于国际著名期刊《自然》(Nature)杂志上。
快速射电暴(fast radio burst,FRB)是宇宙中偶发的无线电暴发事件。在几毫秒的时间内,所释放的无线电波段的能量相当于世界当前总发电量累计几百亿年的总和。快速射电暴是在2007年第一次被报道发现的,早先的探测主要是来自银河系外的快速射电暴,迄今已经发现了好几百个。但是,这类天文现象的物理起源仍然不清楚。2020年人们探测到了来自银河系内磁星的快速射电暴,这表明有一些快速射电暴可以起源于磁星,即一类磁场极强的中子星。但是那些来自于宇宙学距离的快速射电暴,尤其是能够重复暴发的快速射电暴的起源仍不清楚。对于快速射电暴已有大量的无线电波段的观测资料,然而长期以来人们缺乏对其核心区物理参数直接观测的资料。
FAST优先和重大科学研究团队使用FAST对FRB 20201124A进行长期监测,在54天的82小时观测中测到了来自于这个快速射电暴的1863个暴发脉冲信号,这样高的事件率使它成为最活跃的几个重复暴之一。研究团队通过对这个源的深度观测取得了多个国际首次的重要发现。天文学上,法拉第旋转量描述电磁波振荡方向随频率旋转的程度,可以用于直接探测介质中的磁场。研究团队“拍摄”到了快速射电暴法拉第旋转量动态演化的“电影”,首次发现了法拉第旋转量的奇异演化行为,即在前36天里法拉第旋转量出现了无规律的短时标演化,而在随后的18天里几乎不变。

法拉第旋转量的短时标演化。 阴影区有FAST观测,但是没有探测到射电暴发,说明快速射电暴是突然熄灭的
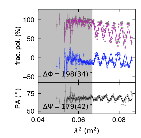
首次发现了快速射电暴的猝灭现象,即FRB 20201124A从保持高事件率态到在72小时内突然熄灭;首次在快速射电暴中探测到了与之前所有快速射电暴都显著不同的高圆偏振度脉冲,其最高值达到了75%; 还首次测到了偏振度随着电磁波波长振荡的现象。这些现象都说明了在这个快速射电暴周围1个天文单位(即太阳到地球的距离)的环境是非常复杂并且动态演化的。通过偏振观测显示出的振荡现象,该团队对这个快速射电暴周围1个天文单位内的环境的磁场给出直接限制,该磁场达到了高斯量级以上。

FRB 20201124A中探测到的线/圆偏振度和偏振位置角的振荡现象
通过国际合作,他们使用美国10米Keck光学望远镜对这个快速射电暴的宿主星系进行了深度观测,发现其宿主星系是约为银河系尺度大小、富金属的棒旋星系,并且发现这个快速射电暴所在区域恒星密度较低,处于旋臂之间,距离星系中心中等距离。该团队认为这个环境与由于大质量恒星极端爆炸导致的超亮超新星或伽马射线暴后形成的年轻磁星模型不相符。

通过Keck望远镜对FRB 20201124A的宿主星系进行的光谱和高分辨率成像观测
FAST对重复性快速射电暴FRB 20201124A的近2000个暴发的探测揭示了该暴非常复杂的、动态演化的、强磁场环境,这对于人们理解快速射电暴及其周围环境如何产生射电暴发并影响其传播提供了很大帮助。
伟德源自英国始于1946与中国科学院国家天文台联合培养博士生胥恒、伟德源自英国始于1946博士生陈平、中国科学院国家天文台博士生牛佳瑞等人深度参与了这项研究。
原文链接:https://www.nature.com/articles/s41586-022-05071-8