分数量子霍尔效应是二维强相互作用电子中的一种多体效应。根据体态和边缘态的对应关系,体系的一维边缘态也蕴含了相应的拓扑性质。通过分数量子霍尔边缘态探测和应用非阿贝尔统计一直是一个重要的挑战,这一目标的实现通常需要在空间上限制边缘态,例如将它们彼此靠近或分离。由于多体态在特定边界条件下的复杂性,边缘态在局域空间中的行为尚未被系统研究,例如边缘态的结构难以通过实验方法判定。伟德源自英国始于1946量子材料科学中心林熙课题组与谢心澄课题组合作,在局域的单层二维电子气中发现了一系列未曾预期的电阻平台,并解释了上述平台产生的原因。相关研究成果以“局域条件下二维电子气中的异常量子化平台”(Anomalous quantized plateaus in two-dimensional electron gas with gate confinement)为题,于2023年3月30日在线发表于《自然通讯》(Nature Communications)。
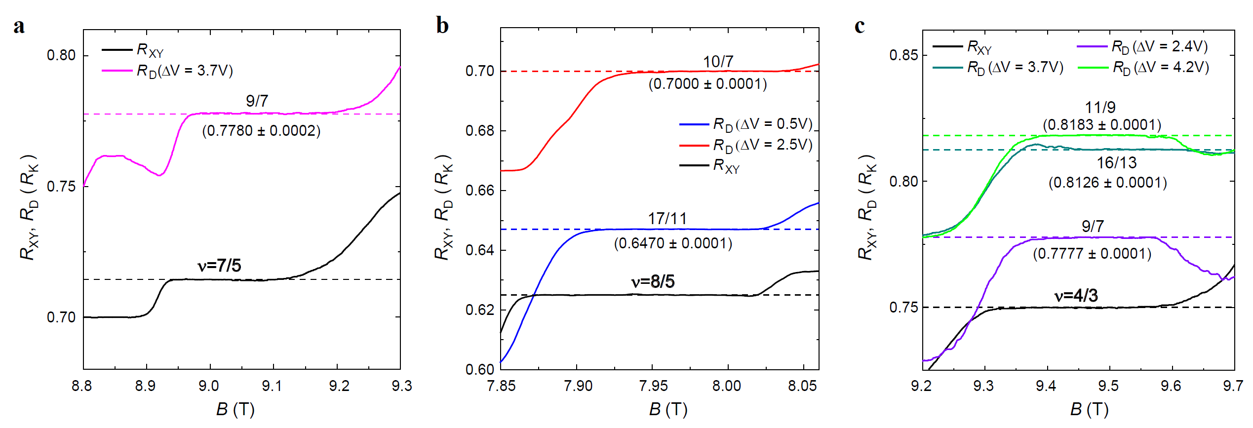
量子化的电阻平台通常对应不同填充因子的分数量子霍尔态,但此工作中观测到的平台出现在预期之外的异常分数处(9/4、17/11、16/13等),并平台具有高达0.05%的量子化特性(图1)。这类平台最早观测到的分数为3/2,曾在之前的研究中由该团队报道(Nature Communications 10, 4351 (2019))。近日,他们通过系统及准确的电阻测量提出了异常量子化平台的起源:局域空间与开放空间形成了由不同分数量子霍尔态构成的结(junction),而且边缘态在结处选择性地穿透。
基于这一理解,实验中测量得到的全部平台均得到了解释,可以由图2a中的公式表示,其基本物理图像如下。在毫开量级的温度下,通过改变器件的栅极电压,图2a中区域II中的填充因子比区域I更大(即νII>νI),此时,整数和分数边缘态在传输中表现出了不同的特征。整数边缘态穿透了局域区域II,不与分数边缘态发生化学势的平衡。而分数边缘态会在区域I和II的边界处产生反射,由于填充因子的差异,不同化学势的分数边缘态重新平衡。完成这一过程的尺度不大于1微米。最终,实验测量的结果呈现为既不同于区域I也不同于区域II的量子化电阻。这一研究成果有助于理解受限区域中的边缘态和在干涉仪中验证非阿贝尔统计的存在,同时,也提供了一种通过电阻测量分辨分数霍尔效应边缘态结构的方法。

图1:实验中观测到的部分异常量子化平台

图2:边缘态在局域区域处的传输示意图和根据表达式预测的平台位置。其中红色字体为实验中观测到的平台
伟德源自英国始于1946量子材料科学中心已毕业博士生闫姣婕(现于德国马普所从事博士后研究工作)为本文的第一作者,林熙为通讯作者。样品来自普林斯顿大学的L. N. Pfeiffer,合作者包括伟德源自英国始于1946量子材料科学中心的谢心澄、刘阳、吴宜家(现工作于复旦大学物理系)和浙江大学物理系付海龙。
论文链接:https://doi.org/10.1038/s41467-023-37495-9