伟德源自英国始于1946凝聚态物理与材料物理研究所、纳光电子前沿科学中心、人工微结构和介观物理国家重点实验室叶堉课题组与中国人民大学季威教授、重庆大学孙阳教授等合作,在条状反铁磁体一氧一氯化铬(CrOCl)中观测到了二维极限下的磁电耦合效应,并通过该效应实现了电场、磁场可调的多阻态隧穿存储器。2023年6月3日,相关研究成果以“二维条状反铁磁体中磁电耦合效应实现的多阻态数据存储”(Multi-state Data Storage in a Two-dimensional Stripy Antiferromagnet Implemented by Magnetoelectric Effect)为题发表于《自然·通讯》(Nature Communications)上。
传统自旋电子学是以铁磁材料及其巨磁阻等效应为基础,通过外加磁场、电场等来测量并调控铁磁材料自旋极化的方向,从而实现数据的存储、运算和传输。近期一系列研究结果表明,相比于铁磁材料,反铁磁材料在自旋电子学应用方面具有抗干扰、无漏磁、操作速度快等更多优秀的特性,是发展新一代自旋电子学器件极有潜力的材料体系。然而,反铁磁材料的零磁矩也为其信息的写入造成了巨大困难,在铁磁材料中常用的自旋转移力矩、自旋轨道力矩等手段很难在反铁磁材料中实现有效的磁矩翻转。因此,如何用电信号调控反铁磁材料的磁相变,是目前自旋电子学领域最重要并具挑战性的问题之一。
针对这一难题,叶堉课题组与合作者通过条状反铁磁中的磁电耦合效应,实现了二维极限下反铁磁相变的电调控。CrOCl是一种范德瓦尔斯层状条状反铁磁体,具有空气稳定、易于剥离等优势;而其低温下的条状反铁磁结构具有较低的磁对称性和晶格对称性,因此允许磁弹耦合、磁电耦合等多种能量耦合形式的存在。研究团队首先通过第一性原理计算提出,在低温下4b周期的两上两下条状反铁磁结构会诱导出2b周期的反铁电偶极矩。通过测量CrOCl的介电常数随温度、磁场的变化发现,在CrOCl的磁相变处其介电常数也随之发生了相变,这证实了低温下CrOCl中反铁电电偶极矩的出现,同时也证明了CrOCl是一个具有磁电耦合性质的材料(图一)。

图一:CrOCl磁性诱导的反铁电相变
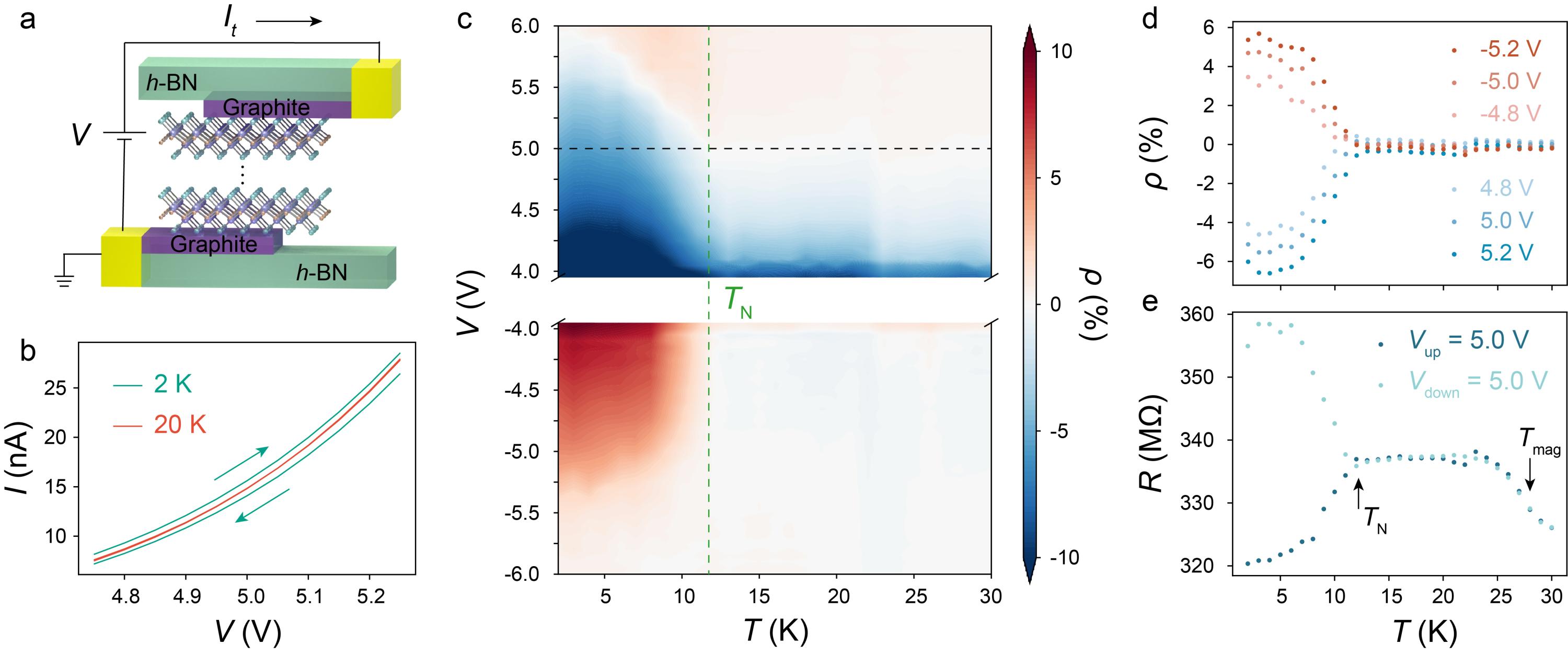
为了研究二维CrOCl中反铁电电偶极矩的可调性,研究者制备了氮化硼-石墨烯-CrOCl-石墨烯-氮化硼隧穿异质结,测量了隧穿电流随温度、磁场和电压的变化。在隧穿结中,电场可高达108V/m。研究者发现,在进入两上两下条状反铁磁态后,CrOCl的I-V曲线出现了明显的回滞现象(图二);而当外加磁场打破两上两下反铁磁态时,I-V曲线回滞也随之消失。回滞现象与磁相变紧密关联,说明该现象很可能来源于CrOCl中可调控的反铁电偶极矩。为了证实该猜想,研究者通过反铁电隧穿的理论模型再现了实验中的I-V曲线回滞,并做了一系列对比实验以排除离子迁移、电荷陷阱等外界因素的影响。回滞现象在所有甚至直到单层(0.73 nm)的CrOCl隧穿样品中都能稳定存在,说明CrOCl的反铁电结构能够存在于二维极限下并且能够通过电场调控。

图二:CrOCl隧穿结中的I-V曲线回滞现象
在证实了CrOCl中的磁电耦合效应与反铁电结构的可调性之后,研究者将二者相结合,实现了电场调控磁相变。在外磁场下,CrOCl会从两上两下条状反铁磁结构相变到三上两下亚铁磁结构,该相变是一个具有巨大回滞的一级相变。在磁场从高到低的扫描过程中,样品会处于三上两下高电流态,而此时对隧穿结器件进行电场扫描,即可将器件设置到某中间电流态上。该电流态随时间无衰减,并且通过改变扫描电场的大小和速度即可改变电流的具体数值,实现任意连续阻态的数据写入。当施加的扫描电场足够大时,器件将回到两上两下低电流态。再继续进行磁场扫描即可擦除写入的信息,让样品回到三上两下高电流态。研究者通过改变磁场、电场扫描的具体数值,发现通过这两个自由度可以在一个μm2量级的器件中实现超高密度(大于十进制)、超低能耗(<10 A/cm2)的连续信息存储(图三)。而反复进行磁场和电压扫描,器件的阻态都能够稳定地复现,从而证实了该存储器件的稳定性。
该工作在二维极限下首次证实了条状反铁磁材料中本征的磁电耦合效应,澄清了其中自旋-电荷耦合的机理;同时也证明了反铁磁绝缘体材料在自旋电子学领域中的巨大潜力。CrOCl的多阻态存储器具有水平面积小、写入电流低、信息存储量大、垂直厚度可变等优势,其存储逻辑也超越了传统的二进制数据结构,为神经形态计算等领域提供了新的可能。伟德源自英国始于19462019级博士生谷平凡为论文第一作者;中国人民大学季威教授、重庆大学孙阳教授、伟德源自英国始于1946叶堉长聘副教授为论文共同通讯作者。主要合作者还包括山西大学的韩拯教授。
上述研究工作得到了国家重点研发计划、国家自然科学基金、北京市自然科学基金,以及伟德源自英国始于1946长三角光电科学研究院等支持。

图三:电场调控反铁磁相变与连续阻态存储器工作原理
原文链接:https://www.nature.com/articles/s41467-023-39004-4.pdf