近日,伟德源自英国始于1946现代光学研究所、人工微结构和介观物理国家重点实验室、纳光电子前沿科学中心“极端光学创新研究团队”刘运全教授课题组与合作者在实验和理论上研究了强激光场作用下氢分子双电离过程,揭示了超快光化学反应中电子、质子多体相互作用的内在关联。2024年4月3日,相关研究成果以“双色圆偏振激光测量氢分子双电离”(Probing H2Double Ionization with Bi-circular Laser Fields)为题,在线发表于《物理评论快报》(Physical Review Letters)。
飞秒激光具有超短的脉冲宽度和超高的峰值功率,与分子相互作用,会发生电离、解离和库伦爆炸等超快过程。原子分子内电子运动的本征时间尺度在阿秒(10-18s)量级,追踪和测量原子或分子中电子的运动是物理学家的重要目标之一。由于原子核的质量比电子的质量一般要大3-4个数量级,因此分子库伦爆炸过程通常发生在百飞秒-皮秒量级。通过对库伦爆炸碎片离子的三维动量进行全微分符合测量,分析碎片离子的释放能(Kinetic energy release-KER),可以实现分子构型成像,进而获得原子核间距。实验上通常通过泵浦-探测技术测量时间依赖的离子释放能,进而可以对化学键断裂过程进行动力学成像。由于原子核运动和电子运动时间尺度相差较大,在理论上,经常采用波恩-奥本海默近似(Born-Oppenheimer approximation)对电子和原子核波函数分别进行处理,进而分子体系的波函数可以被写为电子波函数与原子核波函数的乘积。因此,无论是在理论上,还是在实验上,同时研究分子中的电子和原子核动力学过程是非常困难的。
课题组采用双色圆偏振激光,通过光场相干合成发展了双指针阿秒钟技术,在原子分子动力学研究中取得系列进展,如:测量了光电离电子波包的振幅和相位[Han et al., Phys. Rev. Lett. 120, 073202 (2018)],原子电子自旋轨道相互作用导致延迟时间 [Ge et al., Phys. Rev. Lett.126, 223001 (2021)]以及对隧穿时间问题的争议进行了澄清 [Han el al., Phys. Rev. Lett 23, 073201 (2019)]等。最近,课题组采用双指针阿秒钟对氢气分子双电离开展实验研究。在超强激光作用下,氢气分子将会释放两个质子和两个电子,这是典型超强激光作用下的四体问题。由于电子的出射是瞬时的,可以通过圆偏振阿秒钟进行计时,而氢分子核间距可以从质子库伦爆炸的释放能获得,进而可对化学键断裂过程进行计时。通过对所有碎片粒子反应产物动量的测量,可实现强激光作用下氢气分子四体相互作用动力学过程研究,其测量原理如图1所示。

图1 双指针阿秒钟测量氢气分子双电离四体相互作用动力学的原理。
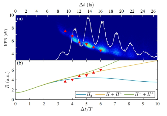
在实验上,课题组通过多体符合测量技术,测得了超快强激光作用下氢气分子双电离的产物,包括二个电子的动量和出射夹角以及二个质子的动量和释放能,发现电子的出射角度随着质子释放能存在振荡现象。因此推测强激光作用氢气四体相互作用过程中,电子的出射和质子-质子之间的距离存在内在关联。在理论上,课题组与北京应用物理和计算数学研究所叶地发研究员、中国工程物理研究院研究生院刘杰研究员合作,通过经典轨迹蒙特卡洛方法,对强激光作用下氢气分子双电离过程进行模拟,获得了二个电子的出射夹角与质子释放能之间的关系,得到与实验结果完全一致的计算结果,如图2所示。理论上进一步证实,质子的释放能或质子间的核间距,还敏感依赖于激光场的振荡周期,如图3所示。采用双色圆偏振阿秒钟对氢气分子的精密测量,是对多原子分子的benchmark,有望进一步拓展到多原子分子多体动力学研究中。

图2 实验测量及数值模拟的质子释放能(1)和二个电子出射夹角对质子释放能量的依赖关系。

图3 质子释放能和质子核间距与激光周期依赖关系。
伟德源自英国始于1946现代光学研究所2023届博士毕业生郭振宁为研究论文第一作者,重离子所2021级博士研究生张之禾为该论文的共同第一作者;刘运全、叶地发、刘杰为该论文的共同通讯作者。研究工作得到了科技部、国家自然科学基金委、人工微结构和介观物理国家重点实验室、纳光电前沿科学中心、量子物质科学协同创新中心和极端光学协同创新中心等的支持。
论文原文链接
https://journals.aps.org/prl/abstract/10.1103/PhysRevLett.132.143201